
La fantasiosa formula dei dazi USA
Andrea Forlani
4/9/20253 min read
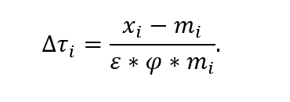
Per calcolare l’aliquota dei dazi, è stato considerato il deficit commerciale, poi diviso per il valore delle importazioni da quel Paese, e moltiplicato per 100 per ottenere una percentuale. Il risultato è stato dimezzato per ottenere l’aliquota da applicare, con un minimo fissato al 10%.
Facciamo un esempio con l’Unione europea. Nel 2024, gli USA hanno importato beni dall’Ue per 605,8 miliardi di dollari, ma ne hanno esportati per soli 370,2 miliardi. Il deficit, quindi, è di 235,6 miliardi. Applicando la formula, si ottiene il dazio del 20% applicato all’Ue. È importante sottolineare come la media dei dazi reali imposti agli USA dall’Ue sia solo del 5% circa, e non del 39% come calcolato.
Lo scorso 2 aprile, il Presidente Donald Trump ha annunciato l’introduzione di nuovi dazi commerciali nei confronti degli altri Paesi, in base ai dazi già applicati agli Stati Uniti. L’obiettivo dichiarato è quello di ridurre il deficit commerciale statunitense, ovvero la differenza tra le importazioni e le esportazioni. A fare discutere, però, oltre alla convenienza politica, è stato il metodo con cui sono stati calcolati.


Trump ha giustificato l’introduzione dei dazi con l’idea di “reciprocità”: se gli USA comprano più di quanto vendono, è segno che gli altri Paesi impongono barriere ingiuste. Questa però è una visione semplificata, e il deficit commerciale non è di per sé negativo: riflette in realtà dinamiche strutturali come bassi livelli di risparmio, attrattività per i capitali esteri e un’economia forte nei servizi. Inoltre, il deficit è da sempre controbilanciato da un forte indebitamento pubblico che consente una spesa elevata senza eccessiva tassazione. Pensare che i dazi riducano automaticamente le importazioni dell’ammontare equivalente della percentuale imposta è una semplificazione: spesso aumentano i prezzi interni senza rilanciare la produzione nazionale.
Le reazioni internazionali sono state immediate. L’Ue ha minacciato contromisure, e la Cina ha annunciato l’introduzione a sua volta di dazi del 34%, uguali a quelli imposti dagli Stati Uniti. Il risultato iniziale dei dazi statunitensi è quindi stato quello di rischiare l’inizio di una guerra commerciale.
La formula usata è adatta per calcolare l’introduzione di nuovi dazi? L’Europa dovrebbe rispondere con contromisure o cercare il dialogo?
Vocabolario:
Dazi commerciali = un dazio è una tassa applicata sui beni importati da un altro Paese. Può essere di due tipi:
Ad valorem: viene calcolato come percentuale sul valore del prodotto. Ad esempio, se il dazio è del 10% e un bene costa 100 euro, il dazio sarà di 10 euro.
Specifico: è una somma fissa per ogni unità importata, indipendentemente dal valore. Ad esempio, 5 euro per ogni chilo di riso importato.
L’obiettivo dei dazi è rendere i prodotti esteri più costosi, così quelli nazionali diventano più competitivi. In più, servono anche a fare entrare soldi nelle casse dello Stato. Hanno però il lato negativo di poter aumentare i prezzi per i consumatori e creare problemi alle imprese che si riforniscono dall’estero.
Attrattività per i capitali esteri = indica quanto un Paese è interessante per gli investitori stranieri. Se un Paese ha un’economia stabile, leggi chiare, infrastrutture moderne e buone opportunità di guadagno, gli investitori di altri Paesi saranno più propensi a investire lì (aprire fabbriche, comprare azioni, finanziare progetti).
Servizi = Nel commercio internazionale, oltre allo scambio di beni materiali (come automobili, cibo o vestiti), c’è anche lo scambio di servizi, cioè attività economiche che non producono un oggetto fisico, ma generano comunque valore. Esempio di servizio: una compagnia americana che vende software a un'azienda europea. I servizi pesano molto nell’economia moderna: nei Paesi avanzati, rappresentano più del 70% del PIL. Gli Stati Uniti dominano il settore: a differenza del commercio di beni (dove spesso hanno un deficit), hanno un forte surplus nei servizi, ovvero esportano più di quanto importano.
Le fonti che sono state consultate per scrivere questo articolo:




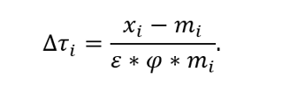
Nella colonna azzurra e bianca sono indicati i "dazi" applicati dagli altri Paesi agli Stati Uniti seguendo la formula utilizzata dall'amministrazione Trump, mentre nella colonna gialla sono indicati i dazi applicati dal 6 aprile dagli USA.
